1 概述
执行模式可以指定sql执行的操作类型,最终映射的时insert、update、delete操作。规则中支持的执行模式有“智能”、“插入”、“修改”、“删除”。非数据库数据视图不支持执行模式,如存储过程、http接口。
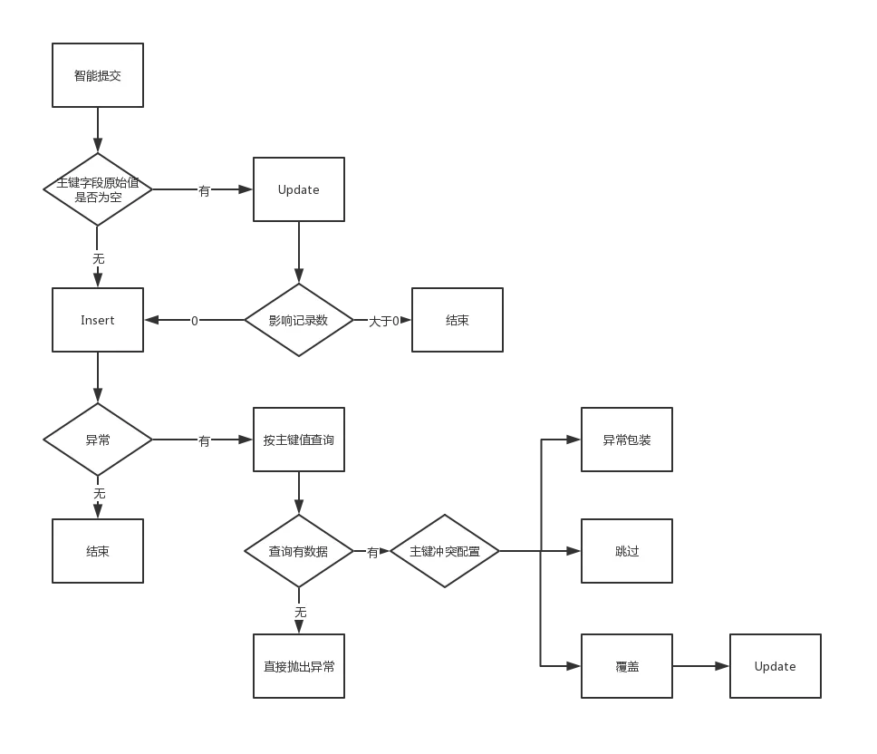
2 智能模式
智能模式按操作自动判断执行操作
- 新增行 则执行insert;
- 修改行 则先执行update,若无变更再执行insert;
- 删除行 则执行delete;
3 插入模式
插入模式强制指定insert,一般用于新增卡片模板或导入模板;
4 修改模式
修改模式强制指定update;
5 删除模式
删除模式强制指定delete;
作者:wangjingxin 创建时间:2024-09-30 15:16
最后编辑:wangjingxin 更新时间:2025-10-16 14:02
最后编辑:wangjingxin 更新时间:2025-10-16 14:02
